新华军事首页 要闻 观点 中国军情 环球军情 外媒 视频 图片 排行 专访 专题 名家 趣闻 军史 军刊 军医
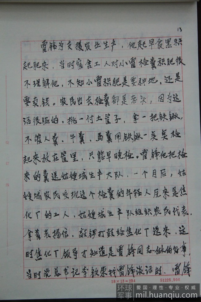
雷锋“初恋”易秀珍亲笔手稿
 
2015年02月27日 07:46:13 | 责任编辑: 王瑶 | 来源: 环球网   

雷锋“初恋”易秀珍亲笔手稿

  稿纸上的字迹一笔一划很是清晰,记者将这份珍贵的资料一一拍了下来,可以看出易秀珍老人字里行间都是用心在回忆这段感情。对于为何要写下这些,她在信的开头用一种淡然的方式作出了回答:“刚来的时候我们都是十七八岁的小青年,现在是满头白发的老年人,人到老年就爱回顾往事。”

|<<   11 12 13 14 15 16 17 18 19 20    >>|

                支持键盘翻页  ←左 右→  
分享到:
【纠错】   
 更多图片
北疆女兵爬冰卧雪训练
北疆女兵爬冰卧雪训练
F-16AM拦截图-95画面
F-16AM拦截图-95画面
"鹘鹰"战机清晰照曝光
"鹘鹰"战机清晰照曝光
T-50试飞增添四个挂架
T-50试飞增添四个挂架
我数百渔船现伊豆群岛
我数百渔船现伊豆群岛
"雷暴"演习轮突炮发威
"雷暴"演习轮突炮发威
英挑战者坦克波兰参演
英挑战者坦克波兰参演
美航展现"偷袭珍珠港"
美航展现"偷袭珍珠港"
第26军蛙人水下作战照
第26军蛙人水下作战照
俄T90A演示超强机动性
俄T90A演示超强机动性
010020030330000000000000011100281275228611